打通垂直維度:PCB Via 技術選型與高速信號優化指南
1 分鐘

隨著訊號上升時間步入皮秒級,印製電路板(PCB)的設計方法正經歷一場轉型。傳統的平面拓樸結構正逐漸被針對垂直互連進行最佳化的方案所取代。在高速訊號傳輸領域,即使是電路板內最微小的孔徑,也可能成為引發訊號反射與損耗的主要來源。究其原因,在於PCB過孔會引入阻抗不連續性。因此,在設計複雜系統時,徹底瞭解各類過孔的物理限制及其固有的電氣特性,是確保系統可靠性的關鍵第一步。
一、 基礎互連:Through Hole Via PCB 限制與優化
印刷電路板中的貫穿孔through hole via PCB是較常見的連接方式,其貫穿整個電路板。貫穿孔的製造成本相對較低,但在高頻領域卻會遇到很多挑戰。
1. 寄生參數的威脅
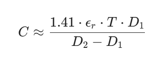
過孔本質上是一個微型的電容與電感組合。對於高速訊號,過孔的寄生電容會增加信號的上升時間,而寄生電感則會增加路徑阻抗。其寄生電容量可由下式估算:

(T:板厚,D1:過孔焊盤直徑,D2:反焊盤直徑)
2. Stub效應
設計多層板時(信號從第一層傳輸到第三層),貫穿孔在第三層以下的部分就會形成開路的傳輸線。在特定頻率下,這可能會引起諧振,嚴重破壞信號的完整性。因此在設計速率超過20Gbps的系統時,通常需要使用“背鑽”技術來移除這些部分來確保信號的質量和可靠性。
二、空間效率與信號品質:Blind Via 與 Buried Via
隨著BGA封裝引腳密度的持續提升,盲孔板和埋孔板已成為確保高效空間利用的關鍵策略。
- Blind Via:連接PCB電路板的外層和內層。由於過孔內部殘留较短,因此可有效避免潛在的訊號反射源。其通常適用於RF天線饋線或 DDR5 布線。
- Buried Via:完全內嵌於PCB的內層且無法與外層接觸。Buried via技術是實現高密度電路設計的關鍵解決方案。

工程決策建議:
儘管盲孔和埋孔具有節省空間的優勢,但它們會顯著增加層壓次數以及電鍍工藝的複雜性。在印製電路板選擇過孔類型時,設計人員必須在佈線密度與板材單位成本之間尋求平衡,從而確定能夠實現邊際效用最大化。
三、 HDI 的微觀革命:Micro-via PCB
micro-via PCB—微孔的孔徑一般150 um以下。此類孔通常需要使用雷射鑽孔技術。
1. 疊孔 (Stacked) 與 交錯孔 (Staggered)
微孔可以採取疊加或交錯的方式進行跨層互連。
- Stacked Vias:空間效率最高,但對電鍍填孔(Copper Filling)的品質要求極嚴。
- Staggered Vias:結構更穩定,工藝窗口較寬,能有效分散熱應力。
2. 縱橫比 (Aspect Ratio) 的限制
設計micro-via 縱橫比(孔深/孔徑)應控制在 0.75:1 至 1:1 的範圍內。若孔深相對直徑過大,電鍍液可能無法充分滲透整個PCB板,這种情況可能會導致孔壁上的銅沉積不均勻或引發PCB結構性失效。

四、極致散熱與信號優化:Via-in-Pad PCB
在處理高功率元件及高頻BGA時,盤內孔(Via-in-Pad)技術顯得不可或缺。
1. 縮短熱路徑
將過孔直接置於焊盤下方,熱量可直接從封裝底部傳導至PCB的接地層。對於基於GaN的功率元件及高效能SoC而言,這項技術對於維持最佳工作溫度至關重要。
2. 塞孔工藝 (Via Plugging)
為了防止焊接時錫膏流進孔內造成假焊,via in pad PCB必須進行塞孔處理。
- 環氧樹脂塞孔:常見做法,平整度高,隨後進行蓋鍍(Via In Pad Plated Over)。
- 導電漿塞孔:在需要更極致散熱的場景下,使用含銀或銅的導電膠填充。
五、如何選擇最優的 PCB Via 方案?
在提交PCB production files之前,建議檢查以下DFM指標:
1. 扇出空間:對於0.5mm間距的 BGA,是否採用了micro-via PCB進行逃逸布線?
2. 電流承載力:在高電流路徑上,單個過孔的載流量是否足夠?(通常需要多孔並聯以降低寄生電感與溫升)。
3. 反焊盤設計:當高速訊號穿過接地層時,是否使用模擬軟件(HFSS或ADS)來優化反向焊盤尺寸,以確保阻抗匹配。
4. 對稱性:在差分對設計中,過孔的位置和數量必須嚴格對稱來防止因模式轉換而造成的電磁幹擾 (EMI)。
結論:阻焊層是精密組裝的安全邊界
在印刷電路板 (PCB) 上,過孔不僅限於實體電氣連接;它們還會影響訊號功率分配。從簡單的通孔到複雜的堆疊式微孔結構,每項技術進步都在拓展製造能力的邊界,同時促進電子產品的微型化。
作為硬件工程師,深入了解過孔類型有助於我們在設計初期避免信號衰減和製造難題。當設計進入GHz頻段或高功率密度時,與具備精密雷射鑽孔、過孔鍍銅和20層以上壓合能力的廠商合作,如JLCPCB,能確保複雜的三維互連設計得到精確實現。

持續學習
過孔對高速 PCB 設計的影響
高速訊號需要阻抗匹配。基本上,這表示訊號路徑必須在整個路徑上保持連續阻抗,並與接收器的阻抗相符。這是為了防止訊號反射破壞訊號。用最簡單的話來說,PCB 走線的特性阻抗取決於走線寬度、銅厚、與參考接地平面的距離以及介電常數。在高速設計中,這是一個非常明確的陳述,但導通孔存在幾個問題。導通孔是訊號路徑中的一個 90 度轉彎。導通孔的幾何形狀意味著訊號路徑與 PCB 走線不同。導通孔預設沒有參考平面。 幾何形狀與缺乏參考平面意味著導通孔阻抗通常無法與 PCB 走線匹配。這可能導致訊號反射,進而損害訊號完整性。在影響 PCB 性能的各種因素中,導通孔在高速與高頻電路中對維持訊號完整性與降低損耗扮演關鍵角色。本文深入探討導通孔對這類設計的影響,檢視其對訊號傳輸的效應、所面臨的挑戰,以及如何最佳化其使用。在本文中,我們將探討: 在 GHz 頻率下,RF PCB 佈局中的導通孔轉換需要極其精細的設計。 對於 HDI PCB,正確的導通孔轉換設計與 antipad 尺寸對維持阻抗控制至關重要。 接地平面導通孔間距、接地共面波導設計,以及適當使用縫合導通孔對不同頻段皆不可或缺。 什麼是導通孔及其操作特性? 導通孔是......
深入了解 FPGA:詳盡指南
當我還是年輕的電子工程師時,我對 FPGA 非常好奇,現場可程式化邏輯閘陣列(FPGA)是一類可在製造後由使用者設定的半導體裝置。它們內部擁有海量的邏輯閘,使用者可透過程式設計來模擬晶片行為,而無需實際製造晶片。與傳統微控制器或處理器不同,FPGA 在實現客製化硬體邏輯方面提供了無與倫比的彈性。本文將探討 FPGA 的基本原理、應用、優勢、結構、工作原理以及程式設計基礎。 什麼是 FPGA? FPGA(現場可程式化邏輯閘陣列)是一種可重複程式設計的積體電路(IC),用於執行特定硬體層級的任務。與專為單一應用設計的 ASIC(特殊應用積體電路)不同,FPGA 允許使用者定義並修改邏輯組態,提供高度彈性。FPGA 的主要優勢在於我們可以更改程式邏輯並測試不同晶片的功能,這帶來了極大的靈活性。若能直接在硬體上驗證邏輯而無需實際製造晶片,任何邏輯錯誤都能在硬體層面被排除,從而節省大量時間、精力與成本。 為什麼我們需要 FPGA? 硬體彈性:特殊任務需要客製化的數位電路。 並行處理:高速運算需要同時進行多項計算。 快速原型開發:硬體設計師需要一個平台來測試與驗證,再決定是否投入 ASIC。 低延遲處理:任務......
探索 PCB 設計中的關鍵高頻元件
高頻電路設計驅動了當今許多先進技術,從通訊系統到精密雷達與航太級設備。高頻系統與其他電路在本質上並無不同,物理定律依舊適用,電子學基礎也保持一致。 然而,是什麼讓這些電路能處理如此快速的訊號?關鍵在於專門的元件,各自扮演獨特角色,用以穩定與放大訊號並將失真降至最低。HF 設計面臨獨特的挑戰與目標,操作時需特別留意。我們常將元件分為主動或被動,這種分類在射頻領域同樣適用。以下為高頻電路設計中可識別的元件參考指南。 高頻電容器: 從基礎電路元件課程可知,電容器基本上是一個小型儲能單元,會阻擋直流並讓交流訊號通過。理想上它對所有交流訊號都應表現一致,但實際並非如此;其功能會隨施加的交流頻率而改變。以下為表示電容器真實電性行為的模型。 「C」對應埋藏在眾多寄生元件中的理想電容,包含極板間的非無限電阻(RD)、串聯電阻(RS)、串聯電感(LS),以及 PCB 焊盤與接地平面間的並聯電容(CP)。 高頻電感器: 電感器則具有與電容相反的特性。基礎上,它是由銅線繞成的線圈,依法拉第電磁感應定律運作,以磁場形式儲能。它阻擋交流訊號並讓直流輕易通過,可說是抗拒訊號變化。電感提供的阻抗會隨交流訊號頻率升高而穩定增加。......
如何解決高頻 PCB 設計中的 EMI/EMC 與訊號完整性問題
高頻 PCB 設計充滿挑戰,其中電磁干擾(EMI)與訊號完整性(SI)問題最為關鍵。這些問題會降低電路效能、影響可靠度,並導致法規測試失敗。為了解決它們,必須在整個設計流程中仔細規劃與執行。以下為克服這些挑戰的策略。 對於訊號方向複雜的網路,拓撲結構對單向、雙向及不同訊號位準的影響各異,很難判斷哪種拓撲對訊號品質最佳。必須預先進行模擬,工程師需深入了解電路原理、訊號類型,甚至佈線難度,才能選出合適的拓撲。想了解更多 PCB 知識,請參閱我們的 PCB 製造終極指南。 優化 PCB 佈局 以確保訊號完整性的技巧: 佈局是確保訊號完整性的關鍵因素。針對 高頻設計,請注意: 走線長度: 盡量縮短訊號走線,以減少傳播延遲與反射。 阻抗控制: 使用控制阻抗走線,使走線阻抗與源端及負載匹配,尤其對高速訊號更重要。 過孔放置: 在高速訊號路徑中減少過孔使用,因過孔會造成阻抗不連續與反射。 差分對走線: 高速訊號使用緊密耦合的差分對,可降低串擾並維持訊號完整性。 高頻 PCB 佈局設計中如何進行阻抗匹配? 阻抗匹配是高速 PCB 設計的關鍵因素之一。阻抗與走線佈局直接相關,例如走線位於表層(微帶線)或內層(帶狀線......
眼圖在高速 PCB 設計中的角色
在高速 PCB 設計中,訊號完整性至關重要。隨著數位裝置的頻率不斷提高,我們必須確保高速 PCB 上各元件之間的可靠通訊。評估高速設計訊號完整性最有效的工具之一便是眼圖。它可用來評估通道雜訊、色散與符號間干擾對基頻脈衝傳輸系統效能的綜合影響。 眼圖以視覺化方式呈現數位訊號的效能,讓工程師能夠評估雜訊、抖動與時序錯誤等因素。從數學角度來看,眼圖是訊號機率密度函數(PDF)的可視化結果。眼圖中「眼睛」睜得越開,代表訊號失真越小。本文將探討眼圖在高速 PCB 設計中的角色、其重要性,以及如何藉由眼圖改善訊號完整性。 訊號的符號間干擾 符號間干擾(ISI)是指連續訊號因訊號完整性問題而互相干擾的現象。這些訊號可能在頻域或時域上無法區分,兩者無法同時成立,因而產生 ISI(由其他元件引起的非預期雜訊)。此外,我們現已具備在時域零交叉點取樣等技術,可減輕 ISI 的影響。 理想上,我們希望訊號零失真、零抖動、零脈衝擴散與零振幅雜訊,也就是輸出訊號與輸入訊號完全一致。能夠觀察到這一點,正是眼圖成為訊號完整性核心工具的原因。 眼圖的關鍵組成 眼圖是透過在不同時間點重複取樣數位訊號所繪製的圖形。當訊號軌跡疊加在示波......
打通垂直維度:PCB Via 技術選型與高速信號優化指南
隨著訊號上升時間步入皮秒級,印製電路板(PCB)的設計方法正經歷一場轉型。傳統的平面拓樸結構正逐漸被針對垂直互連進行最佳化的方案所取代。在高速訊號傳輸領域,即使是電路板內最微小的孔徑,也可能成為引發訊號反射與損耗的主要來源。究其原因,在於PCB過孔會引入阻抗不連續性。因此,在設計複雜系統時,徹底瞭解各類過孔的物理限制及其固有的電氣特性,是確保系統可靠性的關鍵第一步。 一、 基礎互連:Through Hole Via PCB 限制與優化 印刷電路板中的貫穿孔through hole via PCB是較常見的連接方式,其貫穿整個電路板。貫穿孔的製造成本相對較低,但在高頻領域卻會遇到很多挑戰。 1. 寄生參數的威脅 過孔本質上是一個微型的電容與電感組合。對於高速訊號,過孔的寄生電容會增加信號的上升時間,而寄生電感則會增加路徑阻抗。其寄生電容量可由下式估算: (T:板厚,D1:過孔焊盤直徑,D2:反焊盤直徑) 2. Stub效應 設計多層板時(信號從第一層傳輸到第三層),貫穿孔在第三層以下的部分就會形成開路的傳輸線。在特定頻率下,這可能會引起諧振,嚴重破壞信號的完整性。因此在設計速率超過20Gbps的系統......